Julehygge med Benfords lov: En matematisk pudsighed afslører tegn på valgsvindel i Iran - og andre uregelmæssigheder

Klumme: Slidte sider i en logaritmetabel viste sig at være en matematisk finurlighed, som kan afsløre tegn på valgsvindel og andre uregelmæssigheder. Få hele forklaringen her.

Artikel top billede

(Foto: CIO US)

Her i december-travlheden er det sundt en gang i mellem, at læne sig tilbage og tage sig tid til at tænke på noget andet end juleforberedelser og alle de ting man skal nå på arbejdet før ferien kan begynde.

Søndag havde jeg et par timer til overs og besluttede mig for at lege lidt med en matematisk pudsighed, som kaldes Benfords lov om talrækker.

Det er glimrende hjernegymnastik og ganske fascinerende, så det vil jeg da lige dele med jer.

Det er lidt snyd, at Benford har fået æren, da fænomenet oprindelig blev opdaget i 1881 af en amerikansk astronom (Simon Newcomb), men fysikeren Frank Benford efterviste den eksperimentelt i 1938, og han blev altså navnefar.

Slidte sider i logaritmetabellen gav ideen

I gamle dage, længe før lommeregneren, havde man logaritmetabeller, og Simon Newcomb konstaterede, at når han skulle slå en logaritme op i tabellen, var de første sider altid mere slidte, end de følgende sider.

Det viser sig, at det kan man faktisk formulere i en lov, der udtrykker sandsynligheden for forekomsten af det første ciffer i hvert element i en talrække.

Talrækken siges at overholde Benford's lov, hvis det første ciffer, $d,~hvor~d\in ~\left\{ 1,2,3,\cdots ,9 \right\}~$opstår med sandsynligheden $P\left( d \right)=lo{{g}_{10}}\left( 1+\frac{1}{d} \right)$

Med andre ord er sandsynligheden for, at første ciffer er 1, cirka 30 pct., 18 pct. for 2 og så videre til kun under 5 pct. for, at det er et 9-tal.

Ikke alle talrækker overholder Benfords lov, da der er nogle forudsætninger:

Det skal for det første være en "naturligt og frit forekommende talrække", og der må ikke være pålagt kunstige maksimum og minimum".

For det andet skal talrækken helst spænde over flere størrelsesordner (der skal mindst være en faktor 1.000 mellem minimum og maksimum).

For det tredje skal talrækken bestå af mange elementer, helst over 1.000.

Underligt, ikke? Lad os prøve at undersøge sagen.

Figur 1Hvis vi nu bare tæller fra 1 til 100.000, så er sandsynligheden for de enkelte cifre naturligvis præcis den samme, og dermed overholder denne talrække ikke Benfords lov. Det er ikke en "naturligt forekommende" talrække.

Figur 2

Hvis vi genererer 100.000 tilfældige tal, alle med det samme antal cifre, så bryder vi den anden regel, og de overholder derfor heller ikke Benfords lov.

Hvis man tænker lidt over det, vil sandsynligheden for forekomsten af første ciffer ved en tilfældig talrække af samme cifferlængde jo også være netop tilfældig og dermed have samme sandsynlighed.

Så langt, så godt.
Jeg kan lide at leve på kanten, så lad os for en ordens skyld også lige bryde sidste regel.

Figur 3

Nu laver vi en tilfældig talrække med forskellig cifferlængde, men holder antallet af samples nede på 100.

Nu begynder det at ligne noget, men antallet af samples er for lavt til, at reglen slår ordentligt igennem.

Figur 4

Hvis vi nu øger talrækken til 100.000 elementer mellem 1 og 5 cifre, så rammer vi rimelig tæt på Benford-distributionen.

Er det ikke interessant? Det er stadig fuldstændig tilfældige tal (eller så tilfældige som min Matlab-distribution nu kan lave dem).
Hvad kan vi så bruge det til, andet end at lege med Matlab?

Bevares, jeg hænger ofte ud i Matlab - vi har jo alle vores små underligheder. Jo, vi kan prøve at kaste andre talserier fra den virkelige verden efter Benford.

Figur 5

Befolkningen pr. land i verden viser f.eks. en tydelig tendens til at passe på Benford-fordelingen.

Det er jo alt sammen meget sjovt, og det bliver endnu mere interessant, hvis vi kigger på talserier, hvor vi har interesse i rigtigheden.

Figur 6

Lad os tage folketingsvalget i 2011 og fordele på antal stemmer på hvert parti pr. valgkreds. Det giver en liste på godt 4.000 elementer.

Valgdata giver en næsten perfekt distribution i forhold til Benfords lov, og det kan vi faktisk bruge til at vurdere, om data er manipuleret.
Det forholder sig nemlig sådan, at hvis der havde været manipuleret med valgresultaterne, ville det slå igennem på distributionen af første ciffer i valgdata, og Figur 6 ville tydeligt vise det.

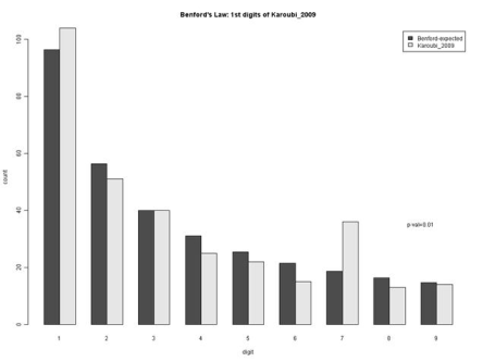
Figur 7

Hvis vi nu tager præsidentvalget i Iran i 2009, hvor der var stor kontrovers og mange beskyldninger om valgsvindel både indenrigs og fra eksterne observatører, og foretager en tilsvarende analyse, viser det en tydelig afvigelse ved tallet 7.

Benfords lov bruges i mange sammenhænge til at vurdere validiteten af data.
Det er som sagt ikke alle typer data, som kan vurderes med Benford, men f.eks. økonomiske data viser sig at passe godt.

Derfor kan analyser ved hjælp af Benfords lov bruges som indicium på manipulation af f.eks. regnskabsdata i retssager om økonomisk kriminalitet i USA.

Jeg ved ikke, om man kan bruge det i Danmark. Hvis nogen ved det, så skriv endelig i kommentarfeltet!

Forskere har sågar benyttet Benfords lov til at sandsynliggøre, at de makroøkonomiske tal, som Grækenland sendte til EU's statistiske agentur (det skal alle EU lande gøre) før den økonomiske krise, var manipulerede.

Fascinerende, at en lille matematisk finurlighed kan benyttes på så mange måder, ikke sandt?

Nok om Benford, og tilbage til juleforberedelserne.

I ønskes alle en rigtig glædelig jul og et godt nytår.

SOS International

IT Procurement Manager

Københavnsområdet

Forsvarsministeriets Materiel- og Indkøbsstyrelse

Netværksarkitekt til Forsvarets Cyberdivision i Hvidovre eller Karup

Københavnsområdet

Det Kongelige Danske Kunstakademis Skoler

Vi søger en IT-konsulent på Det Kongelige Akademi – Arkitektur, Design, Konservering

Københavnsområdet

Weilbach A/S

Head of Operations Support

Københavnsområdet

Computerworld Events

Vi samler hvert år mere end 6.000 deltagere på mere end 70 events for it-professionelle.

Ekspertindsigt – Lyt til førende specialister og virksomheder, der deler viden om den nyeste teknologi og de bedste løsninger.
Netværk – Mød beslutningstagere, kolleger og samarbejdspartnere på tværs af brancher.
Praktisk viden – Få konkrete cases, værktøjer og inspiration, som du kan tage direkte med hjem i organisationen.
Aktuelle tendenser – Bliv opdateret på de vigtigste dagsordener inden for cloud, sikkerhed, data, AI og digital forretning.

Digital transformation | København Ø

Sådan etablerer du digital suverænitet

Digital suverænitet afgør kontrol over data, systemer og afhængigheder i Danmark. Computerworld samler Dansk Erhverv og IBM-eksperter om konkrete arkitekturvalg, governance og platforme, der sikrer reel kontrol. Få overblik og handlekraft.

Sikkerhed | Online

Cyber Briefing: AI kan udnytte dine VPN‑svagheder og lække dine data på sekunder

AI-agenter arbejder konstant og i maskinhastighed. Klassiske VPN-modeller mister overblik, kontrol og sporbarhed. Hør hvordan adgang, handlinger og automatisering sikres i en AI-drevet virkelighed. Tilmeld dig nu

Digital transformation | København

Roundtable: Fra legacy til AI – de strategiske valg for digitale ledere

Legacy-systemer bremser mange AI-ambitioner. Digitale ledere skal vælge platform, tempo og arkitektur. Computerworld samler CIO’er og CTO’er til lukket roundtable om vejen fra legacy til AI-parat forretning. Få perspektiver fra COWI og del...

Se alle vores events inden for it

Navnenyt fra it-Danmark

Netip A/S har pr. 1. marts 2026 ansat Ajanta Holland Christensen som Sales Manager ved netIP's kontor i Aarhus. Han kommer fra en stilling som Account Manager hos Orange Cyberdefense. Nyt job
Renewtech ApS har pr. 15. marts 2026 ansat Per Forberg som Account Manager for Sustainable Relations. Han skal især beskæftige sig med etablere nye partnerskaber med henblik på ITAD og sourcing kontrakter med hostingvirksomheder og strategiske slutbrugere. Han kommer fra en stilling som Nordic Key Account Manager hos Tesa. Han er uddannet hos Lund University og har en MBA i Management. Han har tidligere beskæftiget sig med at styrke salgsaktiviteter og partnerskaber på tværs af nordiske markeder. Nyt job

Per Forberg

Renewtech ApS

Henrik Vittrup Zoega, projektkoordinator hos Departementet for Fiskeri, Fangst, Landbrug og Selvforsyning, Grønland, har pr. 22. januar 2026 fuldført uddannelsen Master i it, linjen i organisation på Syddansk Universitet via It-vest-samarbejdet. Færdiggjort uddannelse

Henrik Vittrup Zoega

Departementet for Fiskeri, Fangst, Landbrug og Selvforsyning, Grønland

Renewtech ApS har pr. 15. marts 2026 ansat Jouni Salo som Account Manager for Sverige. Han skal især beskæftige sig med med at styrke Renewtechs nordiske tilstedeværelse med fokus primært på det svenske marked. Han kommer fra en stilling som Key Account Manager hos GoGift. Han har tidligere beskæftiget sig med udvikling af salgsaktiviter og kunderelationer på tværs af flere markeder. Nyt job

Jouni Salo

Renewtech ApS